본문 바로가기
채권 이론/기초편

YTM(Yield to Maturity), 채권 만기보유수익률

by Windy 2021. 6. 13.

"생각없이 읽다보면 재미있는 금융지식!"

 

 

오늘은 채권의 기초인

YTM(Yield to Maturity)

에 대해 알아보려고 합니다.

 

이번편을 이해하고 싶으시면, 

2021.05.24 - [채권/기초편] - 이자율 단리, 복리, 연속복리

2021.05.26 - [채권/기초편] - 채권(Bond), 쿠폰(Coupon), 만기(Maturity), 원금(Principal)

을 꼭꼭 읽고 와주세요!.

 

 

 

우선 YTM(Yield To Maturity)입니다.

YTM은 한글로 만기보유 수익률 이라고 하고

만기 보유까지 가져갔을 때의 수익률 입니다.

(절대로, 쿠폰수익률(Coupon rate)과 헷갈리지 마세요.!)

 

 

쉽게 설명하기 위해 예를 들어 봅시다.

가장 쉽게 이해하기 위해 우선 

쿠폰이 없는 무이표채(Zero Coupon Bond)를 생각해봅시다.

 

 

만기: 2년후

만기시 원금1,000원 지급

현재 채권 가격: 900원 

 

이라고 가정했을 때, YTM을 계산하는 방법은

 

 에서 y가 YTM이 됩니다.

말 그대로 만기보유시까지 수익률을 계산하면 되는 것이죠.!

 

계산하면

약 5.4%가 나오게 되는데요!

여기서 YTM은 약 5.4%가 되게 됩니다.

 

한편, 채권의 가격이 올라

1,000원이 된다면 어떻게 될까요!?

 

y = 0%

YTM은 0%가 되게 되는 것이죠.!

 

 

만약 채권의 가격이  더올라 1,100원 이 되었다면 어떻게 될까요?

 

y = -4.7% 

YTM 은 -4.7%가 됩니다.!

 

즉, 쉽게 설명하면 YTM은 곧 채권의 가격이라고 할 수 있습니다.!

그래서 일반적으로 채권의 가격표시를 YTM으로 하고 있습니다.

 

한가지 더 주목할만한 포인트는.!

채권의 가격이 올라갈수록 YTM이 내려간다 입니다.

 

보통 사람들이 채권가격과 이자율은 역의 상관관계

라고 할때 이자율이 YTM입니다.

 

 

(출처: Investing.com)

 

최근 채권 이자율이 떨어졌으니 채권 가격이 올랐다는 소리겠죠.!?

또한 아무것도 하지 않고 만기까지 보유했을때의 수익률이 1.454% 라는 소리입니다.!

(다시한번 말하지만 쿠폰과는 아무런 상관이 없습니다.!)

 

 

 

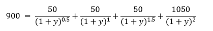
그럼 조금 더 나아가서 쿠폰이 있는 채권은 어떻게 YTM을 계산할까요!?

 

 

만기 2년

쿠폰 10% (반기 5%)

채권가격 900원

원금 1000원

쿠폰주기 반년

 

의 채권의 경우

 

 

 

일반화 시키면 

T는 만기 

쿠폰지급 주기 반기 기준입니다.

 

 

만약 연속복리로 계산할 경우

아래와 같이 계산됩니다.

T는 만기

쿠폰지급 주기 반기 기준입니다.

 

분기 기준이면,

이렇게 되게 됩니다.

 

 

 

오늘은 YTM(Yield to Maturity)를 계산하는 방법을 알아봤는데요.!

요약하자면 다음과 같습니다.

 

 

 

1. YTM 은 가격이다!

2. YTM은 사고나서 아무것도 하지 않았을 때의 연율화 수익률이다.!

3. YTM 과 채권가격은 역의 관계이다.

 

 

다음편에서는 채권의 Pricing 편에서 만나도록 해요!

 

 

반응형